Свойства степеней с доказательствами
. Формулы и примеры решения
Степень числа имеет важное значение в математике, так как часто появляется в различных расчетах — от простых алгебраических выражений до сложных научных формул. Вместе с учителями математики РБК Life разобрался, что такое степень числа и какие свойства степеней упрощают решение математических задач.
Содержание
Что такое степень числа
Степень числа — это математическая операция, при которой число (основание) возводится в степень, то есть умножается само на себя определенное количество раз.
В примере ab, a — основание, b — показатель степени. Например, в записи 34 число 3 — основание, а 4 — показатель степени. Значит, 34 = 3 × 3 × 3 × 3 = 81.
Задача степени — сократить длинные произведения одинаковых множителей и упростить вычисления, особенно при работе с большими числами, формулами и научными записями.
Представление о степени числа формировалось на протяжении веков. Древнегреческие математики применяли понятие в геометрии, хотя и обозначали степени не так, как мы делаем это сегодня. В III веке до н. э. в трудах Евклида появляется квадрат числа, то есть возведение во вторую степень. Позже Архимед развил и обобщил идею степеней. Он использовал степени для описания очень больших чисел. В XV веке Никола Шюке впервые использовал обозначение показателя степени как верхний индекс и ввел отрицательные значения степени. В XVII веке Рене Декарт утвердил запись аn, а Исаак Ньютон и Леонард Эйлер значительно расширили понятие, например, ввели дробные и иррациональные показатели [1].
«На практике объяснить, где именно в жизни пригодится степень, не так просто. Можно назвать расчеты процентов по вкладам, проценты роста или убыли, сложные проценты, но это скорее для старших классов. В реальности степень как действие — это просто важная часть математического мышления. В школьной программе она встречается снова и снова: в арифметике, алгебре, при работе с выражениями, уравнениями и даже в геометрии. На уроках математики тема точно пригодится до 11-го класса».

Свойства степеней и корней
С натуральным показателем
Натуральный показатель — это показатель, который является натуральным числом. Натуральное число — это положительное целое число, например 1, 2, 3 и так далее. В математике натуральное число обычно записывают как n. Если a — любое число, то выражение an означает, что a умножается само на себя n раз. Например: 24 = 2 × 2 × 2 × 2 = 16.
Степень с натуральным показателем обладает свойствами, которые позволяют упрощать вычисления в примерах.
Свойство № 1: при умножении степеней с одинаковыми основаниями основание остается без изменений, а показатели степеней складываются. am × an = am + n, где a — любое число, m, n — любые натуральные числа. Например, 23 × 24 = 23+4 = 27 = 128.
Свойство № 2: при делении степеней с одинаковыми основаниями основание остается без изменений, а показатели степеней вычитаются. am : an = am – n, где a — любое число (кроме 0), m, n — любые натуральные числа. Например, 56 : 52 = 56 − 2 = 54 = 625.
Свойство № 3: при возведении степени в степень основание остается без изменений, а показатели перемножаются. (am) n = am × n. Например, (32) 4 = 32 × 4 = 38 = 6561.
Свойство № 4: при умножении степеней с разными основаниями, но одинаковыми показателями, основания перемножаются, а показатель остается прежним. an × bn = (a × b)n. Например, 23 × 53 = (2 × 5) 3 = 103 = 1000.
Свойство № 5: при делении степеней с разными основаниями, но одинаковыми показателями, основания делятся, а показатель остается прежним. an : bn = (а : b) n. Например, 62 : 32 = (6 : 3) 2= 22 = 4 [2].
С рациональным показателем
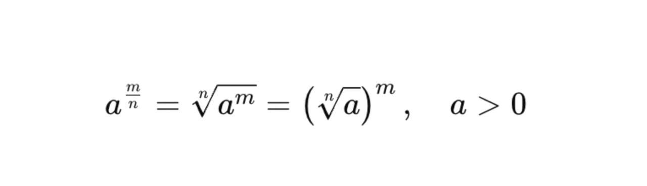
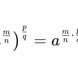
Рациональный показатель — это показатель степени, который является рациональным числом. Рациональное число — это число, которое можно представить в виде дроби: r = m : n, где m — целое число, n — натуральное. Показатель степени m : n эквивалентен возведению в степень m и дальнейшему извлечению корня степени n.
Формула раскрытия дроби с рациональным показателем
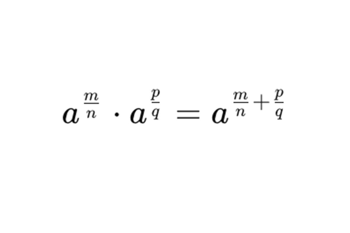
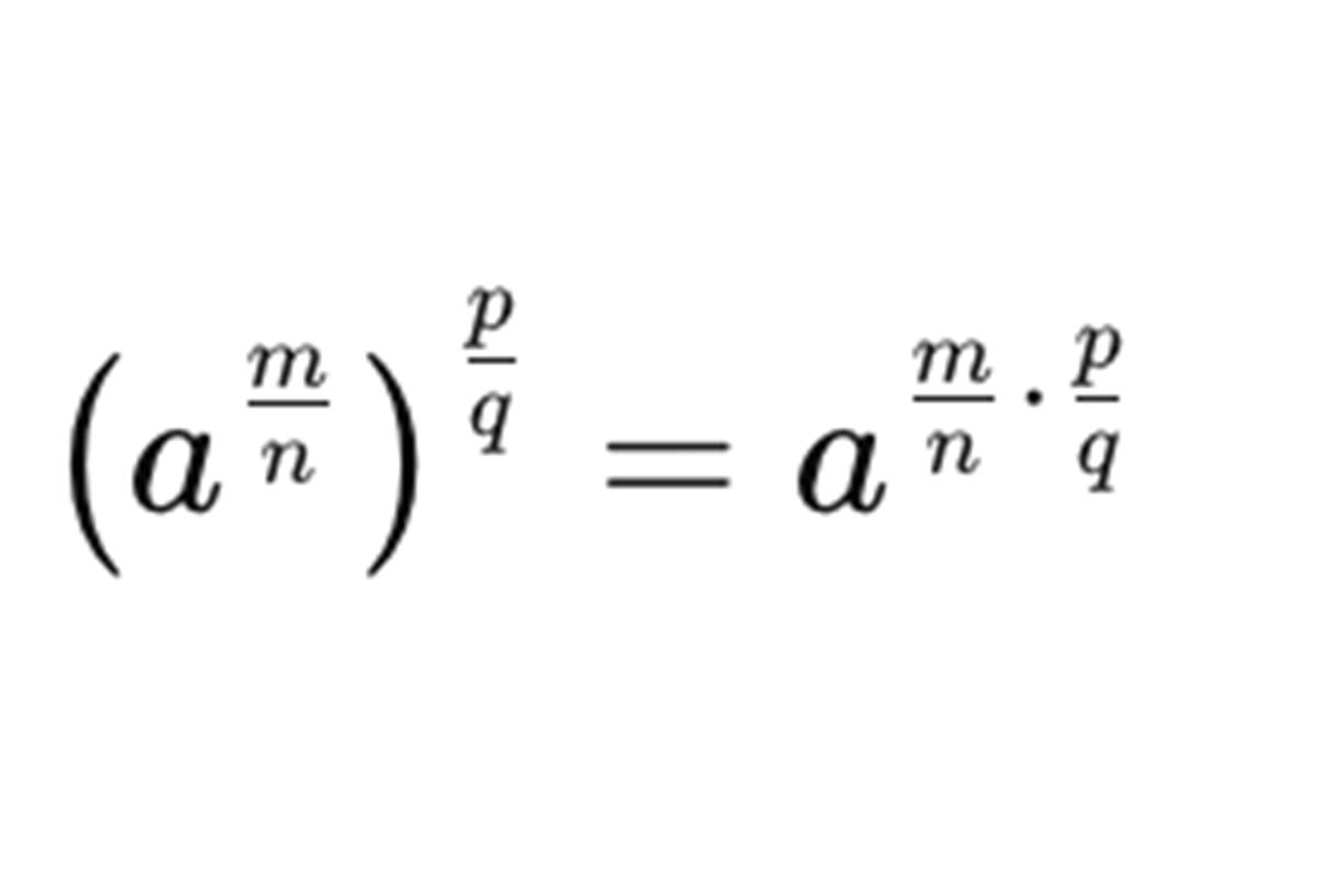
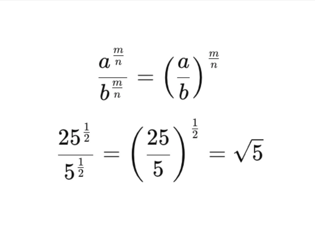
Все основные правила степеней с натуральным показателем также применимы и к рациональным показателям (при a > 0 и b > 0) [3].
Свойство № 1: при умножении степеней с одинаковыми основаниями основание остается без изменений, а рациональные показатели степеней складываются.
Умножение степеней с рациональным показателем
Свойство № 2: при делении степеней с одинаковыми основаниями основание остается без изменений, а рациональные показатели степеней вычитаются.
Деление степеней с рациональным показателем
Свойство № 3: при возведении степени в степень основание остается без изменений, а рациональные показатели перемножаются.
Возведение в степень с рациональным показателем
Свойство № 4: при умножении степеней с разными основаниями, но одинаковыми рациональными показателями, основания перемножаются, а рациональный показатель остается прежним.
Умножение степеней с разными основаниями, но с одинаковыми рациональными показателями
Свойство № 5: при делении степеней с разными основаниями, но одинаковыми рациональными показателями, основания делятся, а рациональный показатель остается прежним.
Деление степеней с разными основаниями, но с одинаковыми рациональными показателями
С целым показателем
Целый показатель — это показатель степени, который принадлежит множеству целых чисел: n ∈ Z = {…, −3,−2,−1, 0, 1, 2, 3,…}. Он может быть:
- положительным (1, 2, 3, …) и означать повторное умножение основания самого на себя;
- нулем (0) и определяет a0 = 1, при а ≠ 0;
- отрицательным (−1, −2, −3, …) и определяет a−n = 1 : an, что означает обратную степень с положительным показателем [4].
Все основные свойства степеней с положительным целым показателем повторяют свойства степеней с натуральным показателем.
Свойство № 1: при умножении степеней с одинаковыми основаниями основание остается тем же, а показатели (в том числе и отрицательные) складываются по обычным правилам сложения чисел. Например, 5–2 × 53 = 5–2+3 = 51 = 5.
Свойство № 2: при делении степеней с одинаковыми основаниями основание остается без изменений, а показатели (в том числе и отрицательные) вычитаются по обычным правилам сложения чисел. Например, 3−2 : 3–5 = 3−2− (−5) = 33 = 27.
Свойство № 3: при возведении степени в степень основание остается без изменений, а показатели перемножаются — даже если они отрицательные. Здесь важно помнить, что отрицательное число, умноженное на отрицательное, дает положительное. Например, (5−1) −2 = 5 (−1) x (−2) = 52 = 25.
Свойство № 4: при умножении степеней с разными основаниями, но одинаковыми отрицательными показателями, основания перемножаются, а показатель остается тем же. Например, 3−2 × 4−2 = (3 × 4) −2 = 12−2 = 1 : 122 = 1/144.
Свойство № 5: при делении степеней с разными основаниями, но одинаковыми отрицательными показателями, основания делятся, а показатель остается тем же. Например, 10−3 : 2–3 = (10 : 2) −3 = 5−3 = 1 : 53= 1 : 125.
«Степень — это просто вид действия, такой же, как сложение или деление. И мне кажется полезным при введении новых видов чисел — отрицательных, дробей и так далее — не убирать «старые» примеры. Пусть дети параллельно продолжают работать и с целыми, и с дробными, и с отрицательными. Тогда у них формируется понимание, что степень применяется не только к конкретному виду чисел, а вообще везде, где это возможно».

Степени нуля и единицы
Любое число в первой степени равно самому себе: a1 = а. Например, 61 = 6.
Любое число, кроме 0, в нулевой степени равно 1: a0 = 1. Например, 30 = 1.
Ноль в любой положительной степени равен нулю: 0n = 0, если n > 0. Например, 03 = 0.
00 вызывает споры даже среди математиков. Некоторые из них считают, что 00 = 1, это удобно, например, при работе с формулами в комбинаторике и матанализе. Другие полагают, что по логике степеней 00 = 0. В школьной математике принято считать, что 00 не определено, так как результат зависит от контекста, в котором используется выражение [5].
«По моему опыту, чаще всего школьники путают первое и третье свойства степеней. Трудности также вызывает работа с отрицательной степенью. Чтобы лучше понять ее, полезно представить себе «два этажа»: числитель и знаменатель. Даже если один из них не виден сразу, он все равно есть. Если у степени отрицательный показатель, то, «переместив» число на другой этаж дроби, мы меняем знак степени на положительный. Это как будто число просто переходит с одного уровня на другой, меняя свою форму, но не суть».

«Детям в начале изучения темы особенно сложно привыкнуть к новой форме записи. Ведь до этого они все время имели дело с привычными действиями: сложением, вычитанием, умножением, делением. А тут вдруг — 2 и сверху маленькая тройка. И они автоматически читают это как «2 умножить на 3», получают ответ «6» — и ошибаются. Визуально новая запись слишком похожа на ту, что они уже знают. Здесь учителю важно четко провести границу между степенью и умножением, показать, в чем именно разница, особенно если используются одни и те же цифры. Я обычно сразу даю смешанные примеры: 2 в третьей степени и 2 умножить на 3, 15 во второй степени и 15 умножить на 2. Чтобы прямо в моменте у ребенка возникло это разграничение: «одинаковые числа, но совершенно разные действия».

Доказательства свойств степеней
Свойства степеней логически выводятся на основе определений и других известных свойств чисел. Ниже приведены краткие доказательства первого и второго свойств для степеней с натуральным показателем.
Доказательство свойства № 1: am × an = am+n, где a ≠ 0, m и n — натуральные положительные числа.
Обоснование: по определению степени с натуральным показателем аm = a × a × a × a (m раз), аn = a × a × … × a (всего n раз). При умножении аm на аn мы соединяем два произведения: am × an = (a × a × … × a (m раз) ) × (a × a × … × a (n раз) ) = a × a × … × a (m + n раз) = am+n.
Например, 23 × 22 = 8 × 4 = 32 и 23 × 22 = 25 = 32 — значения совпадают [6].
Доказательство свойства № 2: am : an = am–n, где a ≠ 0, m и n — натуральные положительные числа.
Обоснование: по определению степени с натуральным показателем аm = a × a × … (m раз), аn = a × a × … × a (всего n раз). При делении аm на аn мы делим два произведения: am : an = (a × a × … × a (m раз) ) : (a × a × … × a (n раз) ) = a × a × … × a (m – n раз) = am–n.
Например, 35 : 32 = 243 : 9 = 27 и 35 : 32 = 33 = 27 — значения совпадают.
Примеры действий со степенями
Примеры умножения степеней с одинаковым основанием:
- 2³ × 2⁴ = 2⁷ = 128
- 10⁴ × 10–2 = 10² = 100
- 5⁰ × 5–3 = 1 × 5–3 = 5–3 = 1/125
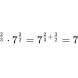
- 272/3 × 274/3 = 276/3 = 272 = 729
Примеры деления степеней с одинаковым основанием:
- 2⁵ : 2² = 25–2 = 2³ = 8
- 10⁷ : 10–3 = 107– (–3) = 107+3 = 1010= 10 000 000 000
- 7⁰ : 7² = 70–2 = 7–2 = 1/49
Сложение степеней возможно упростить только при полностью одинаковых основаниях и показателях — тогда это будет умножение степени на число: 32 + 32 + 32 = 3 × 32 = 33 = 27. В остальных случаях степени складывать «по степеням» нельзя: 2³ + 2⁴ = 8 + 16 = 24.
Вычитание степеней возможно упростить только при полностью одинаковых основаниях и показателях — тогда это будет вычитание одинаковых чисел: 42 − 42 = 16 − 16 = 0. В остальных случаях степени вычитаются как обычные числа: 34 − 32 = 81 − 9 = 72.
Сокращение степеней возможно только при делении степеней с одинаковыми основаниями — в этом случае показатели вычитаются: 65 : 62 = 65−2 = 63 = 216 и 56 × 73 : 52 = 54 × 73 = 625 × 343 = 214375.
























